[汽车之家 资讯] 日前,工信部发布《享受车船税减免优惠的节约能源 使用新能源汽车车型目录(第六十六批)》和《减免车辆购置税的新能源汽车车型目录(第十批)》,其中丰田bZ3C(参数|询价)、领克Z20、iCAR V23、MINI ACEMAN JCW、MINI JCW纯电动版、吉利银河星舰7、比亚迪夏、宝骏云光、奇瑞风云A8L C-DM上榜,我们可以进一步了解新车相关参数。


丰田bZ3C

iCAR V23

MINI JCW E

MINI JCW ACEMAN E
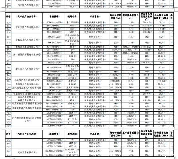
先来看《减免车辆购置税的新能源汽车车型目录(第十批)》,丰田bZ3C是一款搭载比亚迪弗迪磷酸铁锂电池的新车型,定位紧凑型纯电SUV,CLTC工况纯电续航分别为550km和630km。领克Z20刚刚在海外完成首发,同样定位紧凑型纯电SUV,预计国内价格17-20万元,其纯电续航为530km或520km。iCAR V23同样是一款紧凑型纯电SUV,“方盒子”造型,续航里程分别为401km和501km。最后我们还看到了MINI JCW E和MINI JCW ACEMAN E,两款纯电性能车,纯电续航分别为CLTC工况412km和406km。


比亚迪夏

宝骏云光

奇瑞风云A8L C-DM
再来看看《享受车船税减免优惠的节约能源 使用新能源汽车车型目录(第六十六批)》,首先我们看到了吉利银河星舰7,这款车型虽然与银河家族之前的命名不同,但仍为一款插混车型,纯电续航150km,搭载1.5L发动机。之后我们看到了大家关注度比较高的比亚迪夏,一款插混MPV,纯电续航145km,搭载1.5T发动机。宝骏中大型插混轿车云光也上榜了,它的纯电续航是101km,搭载1.5T发动机。最后是奇瑞风云A8L C-DM,纯电续航106km,搭载1.5T发动机。(文/汽车之家 秦超)


